ひずみの測定

物理の勉強では「剛体」という変形しない物体を想定しますが、現実の物体は外から力を加える変形します 。この変形のことを「ひずみ」と言います。「ひずみ」と言うと電気の世界では波形歪、音声の計測では高調波歪や混変調歪など を言いますが、これらは物体の「ひずみ」とは別の概念です。

物体のひずみには、図1のように一定の変形を保つ静的なひずみだけでなく、図2のようなエンジンやモータの振動のように、変形しにくい鉄のボディを揺らす動的なひずみがあります。何らかの方法でひずみを電気信号に変換すれば、静的なひずみは直流として、動的なひずみは交流として扱えます。

image-20250227213117859.png
図1 静的なひずみ

image-20250227213133317.png
図2 動的なひずみ

図3のように、物体に圧縮の力を加えると物体は収縮します。逆に引っ張る力が加わると伸長します。

image-20250227213206263.png
図3 外力による物体の変形

この圧縮・伸長を数値化したものが図4です。線長Lの導線が圧縮・伸長により⊿L変形した場合、ひずみを

image-20250227213242235.png
と定義します。

圧縮・伸長により導体の線長が縮小・延長し、合わせて断面積が増加・減少します。これにより圧縮時には導線の抵抗値が増加、伸長時には低下します
image-20250227213340887.png
図4 ひずみの定義と抵抗の変化

図5はひずみを検出するひずみゲージで、被測定対象に接着剤で取り付けます。

image-20250227213401767.png
図5 ひずみゲージの装着

ひずみゲージは図6のように折り返された導線で構成されており、各寸法はひずみゲージの仕様書に記載されています。ひずみがない場合の抵抗値Rは圧縮時にR-⊿R、伸長時にはR+⊿Rに変化します。

image-20250227213431185.png
図6 圧縮・伸長で変わる抵抗値

ここでひずみεは
image-20250227213451256.png
と定義されR、⊿Rから算出できます。

ここでKはゲージ率と呼ばれ、ひずみゲージに記載されています。

検出される抵抗の変化は非常に小さいため、何らかの方法で電圧に変化しなければなりません。
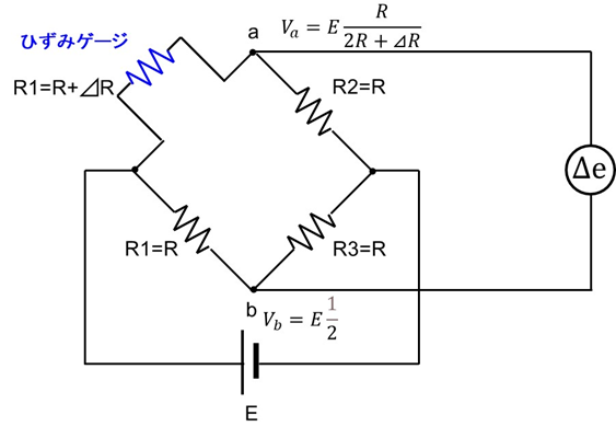
図7はホイートストン・ブリッジの原理です。

image-20250227213545080.png

a点とb点の電位が等しい場合にa-b間に電流は流れません。
image-20250227213557205.png
図7 ホイートストン・ブリッジの原理

この条件は
image-20250227213621986.png

 より
image-20250227213634592.png
になります。

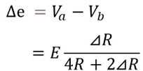
ここで図8のように
R1=R+⊿R(ひずみゲージ)
R2=R3=R4=R
と単純化するとa-b間の電位差⊿eは

image-20250227213716632.png
になり、抵抗の変化分は非常に小さいと考えられるため

image-20250227213756886.png

となり電圧の変化から抵抗変化が分かり、抵抗変化に比例するひずみの値が算出できます。

image-20250227213857304.png

図8 ひずみの算出法

ひずみ測定器は図9のようにひずみゲージ、近傍に配置するブリッジヘッド、接続用延長ケーブル、レコーダ本体に取り付けたひずみ用モジュールで構成されます。

image-20250227214214188.png

図9 ひずみ測定器の原理

ひずみゲージの抵抗値は120Ω/350Ω/1kΩが一般的で、市販されているひずみゲージ用入力ユニットにてゲージ抵抗値、ゲージ率を設定します。

図10はデータレコーダと組み合わせる代表的なひずみ用モジュールです。

image-20250227214244190.png

図10 代表的なひずみゲージ用モジュール