規格認証試験をおこなう高速シリアルバス信号の評価においては波形形状を正しく再現できることが求められます。
高速オシロスコープはパルス測定に向いたフラットな周波数応答特性を持ちますが、測定する信号に対してどの程度の周波数帯域がベストなのでしょうか。
パルスの周波数成分
図1は方形波、11次高調波までのフーリエ級数の例です。高調波の次数が高くなるに従い立ち上がり、立ち下がりは急峻になります。
経験則としてクロックを観測する場合、「オシロスコープの周波数帯域はクロック周波数の10倍必要」という事が言われます。
あくまでも経験則で厳密には被測定信号の立ち上がり時間を基に周波数帯域を求めるわけです。この件は別コラムをご参照ください。

図1 フーリエ級数
図2は高速シリアルバスの信号を想定して描いた波形です。一般に高速シリアルバスの信号では波形の鈍りが大きく、高調波成分は方形波のそれより減衰した第3、第5高調波でほぼ構成されます。

図2 高速パルスを想定した場合
図2は第3次、5次高調波成分の振幅を減衰させた例です。
●第5高調波でほぼフラットトップになる
●第5次高調波の有無は立ち上がり時間にはあまり影響しない
ことがわかります。
さらに伝送路の受信端では高次の高調波程減衰が大きく、ほぼ正弦波になることもあります。
この事から高速シリアルバスの波形測定においてオシロスコープには
「第5次高調波成分までフラットな周波数」
が要求されます。
フラットな周波数特性を実現するために、オシロスコープ内部で周波数特性の補正を行っています。フラットな周波数特性によりパルスの高調波成分のレベルが正しく取り込まれ、パルス形状の評価に適しています。
必要な周波数帯域
図2に示されるように一般には第5高調波成分まで正確に取り込める周波数帯域が推奨されます。データ列は図3のように0、1が不規則に連続し、1010のような最短の周期が一番高い周波数になります。

図3 データレートと周波数の関係
この最短の周期の1/2をユニット・インターバル(UI)と呼び、その逆数がbpsで示されるデータレートです。
10Gbpsの場合、ユニット・インターバルは100ps、最短周期は200psになり、データ・パルスの最高繰り返し周波数は5GHzです。
単純に言えばデータレートの1/2が最高繰り返し周波数になります。この周波数の5倍の周波数帯域、言い換えればデータレートの2.5倍の周波数帯域が必要性能になります。

図4 高速パルスの高調波成分とオシロスコープの周波数帯域
二―周波数という考え
第5高調波までという考え方が経験則にあることは否めません。そこでパルスの立ち上がり時間から必要な周波数帯域を決める方法があります。ガウシャン特性近似の汎用オシロスコープの場合は
4×パルスの立ち上がり時間>プローブを含むオシロスコープの立ち上がり時間
を満足する周波数帯域になります。ここで

の関係があります。立ち上がり時間が2nsのパルスの場合、プローブを含むオシロスコープの立ち上がり時間は1/4以下の500ps以下が必要、周波数帯域は700MHzになり製品としては1GHzになります。
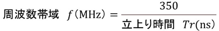
二―周波数という考え方があります。「パルスに含まれる周波数成分はその立ち上がり時間によって決まる」という考えです。その周波数を二―周波数と呼びます。
一般に高速パルスの立ち上がり時間は振幅の20%から80%までの時間になり、ニー周波数は次の式で求まります。

図5のように周波数帯域に余裕を持たせ、二―周波数の1.4倍あれば立ち上がり時間は3%の測定確度で求められます。

図5 ニー周波数とオシロスコープに求められる周波数帯域
実際の波形で比較すると「第5高調波説」、「二―周波数説」どちらでも必要になる周波数特性にあまり差は無いようです。また伝送路による損失の影響が大きく、受信端では高調波成分が減衰し正弦波に近い形状になることも少なくありません。
高速シリアルバスの波形検証ではプローブを用いずに、オシロスコープの入力インピーダンス50Ωを伝送線路の終端として使うことになります。ローブの負荷効果(入力インピーダンスの周波数特性)は製品により変化するため真の波形を求めることは容易ではありませんが、ダイレクトに受信することでプローブの影響はなくなります。
高速オシロスコープでは周波数応答特性は波形処理によりフラットに校正されているために、メーカー間の差異は少なくなります。